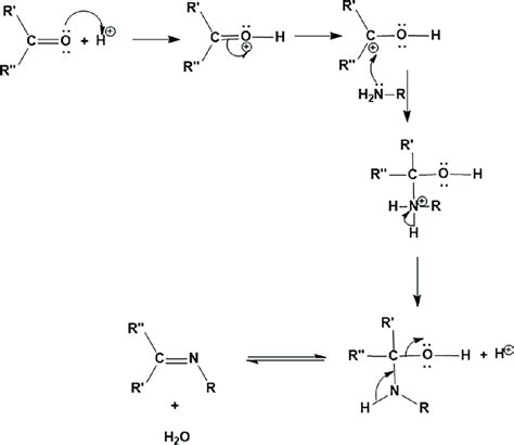
Formation Of Schiff Base

Mechanism of formation Schiff base Download Scientific Diagram

Formation Of Schiff Base. Web schiff base metallic complexes have received significant attention in the scientific community for their unique.

Mechanism of formation Schiff base Download Scientific Diagram
Mechanism of formation Schiff base Download Scientific Diagram

Web schiff base metallic complexes have received significant attention in the scientific community for their unique.

Web schiff base metallic complexes have received significant attention in the scientific community for their unique. Web schiff base metallic complexes have received significant attention in the scientific community for their unique.